With our latest preprint [arXiv:2208.07380] (led by Caltech grad student Keefe Mitman), SXS simulations have conclusively shown the presence of nonlinearities in black hole ringdowns. What does it all mean?
This paper is about modeling the ringdown portion of gravitational waves (GWs) from black holes. After two black holes merge, the highly-distorted remnant BH “rings down” to the stationary Kerr solution. During this time, the GWs are approximately a sum of damped sinusoids (blue arrow in this figure).
![The inspiral, merger, and ringdown of GW150914 [Phys. Rev. Lett. 116, 061102 (2016)].](/images/posts/nonlinear-ringdown/IMR-annotated.jpeg)
The damped sinusoid model comes from linear perturbation theory—assume we can write spacetime as the nonlinear Kerr solution, plus a small correction that satisfies a linear equation. We physicists love perturbation theory! But usually we need to go to 2nd and higher order.
In the standard model, people have gone up to 10th order (5 loops). In post-Newtonian theory (used for the inspiral gravitational wave), people are working on 4.5PN \((1/c^9)\). So what about ringdown?

Almost everybody still uses linear theory for ringdown (there’s been a little work on how to do second order). In fact there’s been claims that you can fit even the peak—when nonlinearities should be largest—by just adding more “overtones” (linear solutions that decay faster).
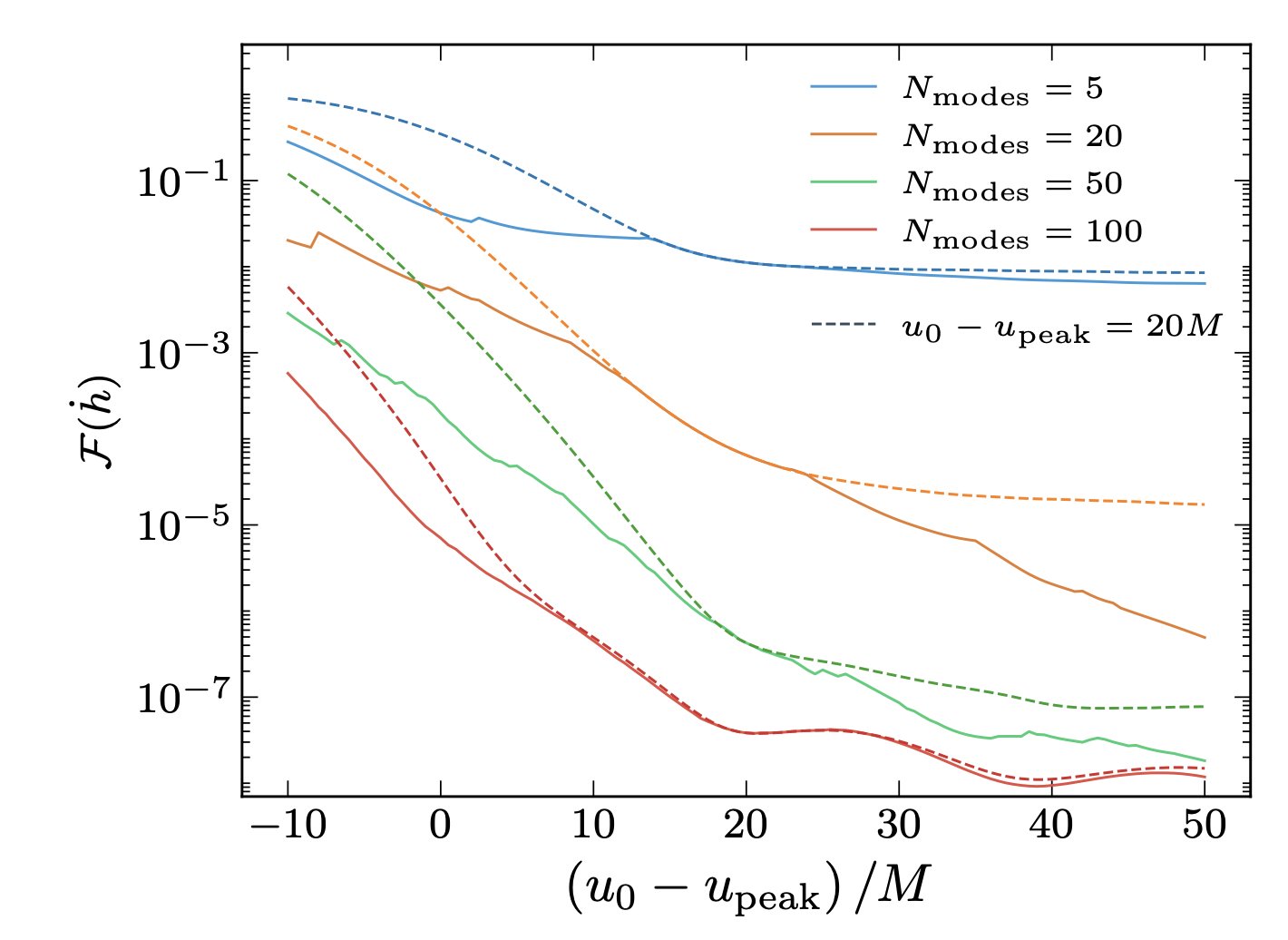
An earlier SXS paper even fit more than 100 modes at the same time!
![Fitting ringdown with many overtones, but still within linear theory [Phys. Rev. X 9, 041060 (2019)].](/images/posts/nonlinear-ringdown/7-overtones.jpeg)
![The 'greedy algorithm' of [Phys. Rev. D 105, 104015 (2022)] happily finds 100 modes to model.](/images/posts/nonlinear-ringdown/100-modes.jpeg)
Ok, that’s enough background, on to our new paper. We went looking for a quadratic nonlinearity in ringdown, and it’s there! The most important one is the dominant linear (2,2,0) mode interacting with itself, sourcing a response in the (4,4) mode (and others).

The frequency is known from theory; we fit the amplitudes across a wide range of simulations, and find a parabola—it’s really a quadratic nonlinearity (top panels).
Compare that against two different linear modes (bottom panels), no such relation.
Of course we did a bunch of checks. Are we overfitting? We compared the quadratic model to a linear model with the same number of parameters, and the quadratic one fits better (the residual and “mismatch” are smaller).
It’s really worth pointing out that this quadratic mode decays slower than the first linear overtone. AND the amplitude is basically the same at the peak! Both of these features can be seen in the first figure here:


In the second figure, you can see that the amplitudes are robust as we vary the time when we start the fits, which makes us confident in our model.
Also, we can let the frequency of our extra mode be a variable, and see which frequency the data prefer. Turns out it’s the frequency predicted by second order perturbation theory, not a higher overtone from linear theory.

The amplitude of the nonlinearity being similar to that of a linear overtone might make you worry about the validity of perturbation theory. We need a hierarchy, that 1st order is more important than 2nd order is more important than 3rd order etc… But we don’t seem to have that here. Clearly more work to do!
Well, you’re basically up to speed on what we did in the paper. If you want all the technical details, it’s an easy read—only 5 pages! Check it out at [arXiv:2208.07380]. For completeness, some of our colleagues (Mark Cheung et al.) have their own paper out today with consistent results, and some of our coauthors (Macarena Lagos and Lam Hui) have a longer theory paper trying to model some of these results with pencil and paper.
Special thanks to Max Isi for organizing a workshop that fired up some of our investigations, and the Benasque science center and the NSF for fostering some of our collaborations. There is still a lot more to learn! We have like 3 more paper ideas based on this stuff. Stay tuned!